2014 Nachtermin B1: Quadratische Funktionen

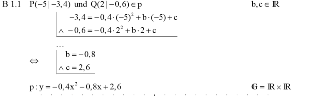
Lösung zu B1.1

Lösung zu B1.2

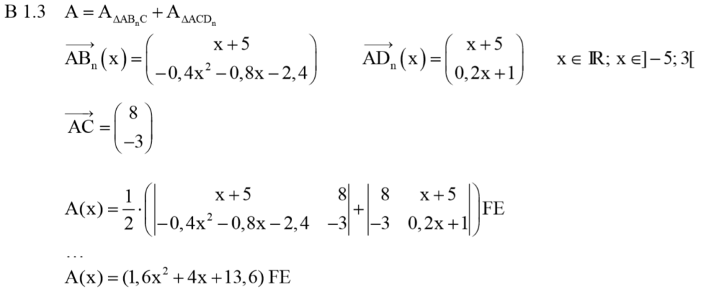
Lösung zu B1.3

Lösung zu B1.4

Lösung zu B1.5

Lösung zu B1.6

Schreibe einen Kommentar

Deine E-Mail-Adresse wird nicht veröffentlicht. Erforderliche Felder sind mit * markiert

Nach oben scrollen